Abstract

Introduction: Midostaurin, a multikinase inhibitor with targets that include FLT3 and KIT, was recently approved by the US Food and Drug Administration (FDA) for the treatment of patients with newly diagnosed FLT3 -mutation-positive (mut+) acute myeloid leukemia (AML) in combination with standard induction and consolidation chemotherapy based on data from the randomized, double-blind, phase 3 RATIFY trial. The trial evaluated standard induction and consolidation chemotherapy in combination with midostaurin 50 mg twice daily (bid) or placebo on days 8-21 of each 28-day cycle and single-agent midostaurin 50 mg bid or placebo maintenance therapy for ≤12 cycles in patients aged 18-59 y with newly diagnosed FLT3 -mut+ AML. Patients receiving midostaurin saw significant clinical benefits vs placebo, with improved overall and event-free survival (Stone et al. New Engl J Med 2017). This expanded treatment protocol (ETP) was designed to provide access to midostaurin during the FDA review process and expand the understanding of the safety and tolerability profile of midostaurin in adult patients with newly diagnosed FLT3 -mut+ AML.
Methods: In this open-label, single arm, ETP (NCT02624570), adult patients with newly diagnosed FLT3 -mut+ AML who were fit to receive intensive induction and consolidation chemotherapy were enrolled. Key inclusion criteria were AML diagnosis, documented FLT3 mutation (internal tandem duplication [ITD] or tyrosine kinase domain [TKD]), Eastern Cooperative Oncology Group performance status ≤2, and adequate organ function. Patients received 1-2 cycles of induction therapy (cytarabine plus daunorubicin or idarubicin) and ≤4 cycles of cytarabine consolidation therapy in combination with midostaurin (50 mg bid on days 8-21 of each 28-day cycle), followed by ≤12 months of single-agent midostaurin (50 mg bid on days 1-28). Patients could be enrolled and initiate midostaurin therapy at any point during standard chemotherapy prior to the completion of a second cycle of consolidation. Patients on study were required to achieve complete remission (CR) or CR with incomplete hematologic recovery (CRi) after induction in order to move to consolidation. Failure to achieve CR/CRi led to study discontinuation. The primary endpoints were safety and tolerability of midostaurin per Common Terminology Criteria for Adverse Events v4.0.
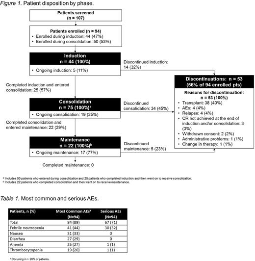
Results: Of 107 patients screened (data cut-off date Feb 28, 2017), 94 were enrolled in the study: 44 (47%) during induction and 50 (53%) during consolidation. All patients were FLT3 -mut+: ITD, n=71; TKD, n=18; both, n=4; missing, n=1. The median age was 58 y (range, 19-79 y); 43% of patients were aged ≥60 y. Overall, 53 patients (56%) discontinued the study due to transplant (n=38), adverse events (AEs; n=4), relapse (n=4), not achieving CR/CRi (n=3), withdrawn consent (n=2), noncompliance (n=1), and change in therapy (n=1) (Figure 1).
The median duration of midostaurin exposure was 26 days (range, 1-218 days). Dose adjustments were allowed in 17 patients, most commonly due to febrile neutropenia (n=4) and gastrointestinal disorders (n=4). Most patients (89%) experienced ≥1 any-grade AEs, mostly during induction and/or consolidation. The most common AEs in ≥20% of patients were febrile neutropenia (44%), nausea (33%), diarrhea (29%), anemia (27%), and thrombocytopenia (20%) (Table 1). Six patients had increases in QTc intervals >30 ms (10 events total, none of which were >500 ms). Two of the 6 patients had increases >60 ms. One patient had an increase in QTc interval from 419 ms to 490 ms; QTc intervals normalized when the midostaurin dose was reduced to 50 mg once daily. No QTc interval increases were associated with clinically significant events.
Serious AEs were reported in 46% of patients, febrile neutropenia being the most common (32%). Of the 4 patients who discontinued due to AEs, 3 discontinued during induction (hyperbilirubinemia, QTc increase, or renal impairment) and 1 discontinued during consolidation (alanine aminotransferase increase). One death (due to respiratory failure) was reported during the study.
Conclusions: RADIUS-X was designed to provide access to midostaurin for patients with newly diagnosed FLT3 -mut+ AML and gather additional safety and tolerability data in this patient population. In this ETP, the safety profile of midostaurin was consistent with that seen in the large, phase 3 RATIFY trial.
Roboz: AbbVie, Agios, Amgen, Amphivena, Array Biopharma Inc., Astex, AstraZeneca, Celator, Celgene, Clovis Oncology, CTI BioPharma, Genoptix, Immune Pharmaceuticals, Janssen Pharmaceuticals, Juno, MedImmune, MEI Pharma, Novartis, Onconova, Pfizer, Roche Pharmace: Consultancy; Cellectis: Research Funding. Strickland: CTI BioPharma: Consultancy; Baxalta: Consultancy; Astellas: Consultancy; Sunesis: Consultancy, Research Funding; Tolero: Consultancy; Boehringer-Ingelheim: Consultancy, Research Funding; Novartis: Consultancy. Perl: Asana Biosciences: Other: Scientific advisory board; Actinium Pharmaceuticals: Other: Scientific Advisory Board; Novartis: Other: Advisory Board; Seattle Genetics: Other: Advisory board; Daiichi Sankyo: Consultancy; Astellas: Consultancy; Pfizer: Other: Advisory Board; Arog Pharmaceuticals: Consultancy. Bonifacio: Novartis Pharmaceuticals Corporation: Employment. Haines: Novartis Pharmaceuticals: Employment. Barbera: Novartis Pharmaceuticals: Employment. Purkayastha: Novartis Pharmaceuticals: Employment. Sweet: Novartis Pharmaceuticals: Consultancy, Speakers Bureau; Ariad: Consultancy, Speakers Bureau; Pfizer: Consultancy; Otsuka: Consultancy; Karyopharm: Consultancy, Research Funding; Incyte: Research Funding.
Author notes
Asterisk with author names denotes non-ASH members.

This icon denotes a clinically relevant abstract
